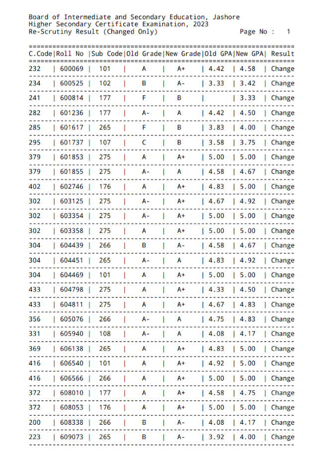
নিচের PDF link এর উপরে ক্লিক করলে উপরে দেওয়া ছবির মত রেজাল্ট দেখতে পারবা 👇👇 🔴🔴ঢাকা বোর্ড চেয়ারম্যান জানান, আজ মঙ্গলবার খাতা পুনর্নিরীক্ষণের …
Read moreHSC ফিন্যান্স ব্যাংকিং ২য় পত্র এর সকল বোর্ডের (সঠিক উত্তর) দেওয়া হবে....উত্তর তৈরির কাজ চলছে...তোমরা উত্তর পাওয়ার পর ছবিটার উপর টাচ করে ওপেন ওপেন কর…
Read moreHSC ফিন্যান্স ব্যাংকিং পত্র এর সকল বোর্ডের (সঠিক উত্তর) দেওয়া হবে....উত্তর তৈরির কাজ চলছে...তোমরা উত্তর পাওয়ার পর ছবিটার উপর টাচ করে ওপেন ওপেন করবা.…
Read moreHSC উচ্চতর গণিত ১ম পত্র এর সকল বোর্ডের (সঠিক উত্তর) দেওয়া হবে....উত্তর তৈরির কাজ চলছে...তোমরা উত্তর পাওয়ার পর ছবিটার উপর টাচ করে ওপেন ওপেন করবা..তাহ…
Read more
Social Plugin